[MỚI NHẤT 2025] Đề thi Toán lớp 4 - Đề thi học kì 2 - Đề 3 - Kết nối tri thức (Không Quảng Cáo)
Kết nối tri thức_Toán lớp 4_Đề thi học kì 2 - Đề 3
PHẦN I - TRẮC NGHIỆM (3 điểm)
Em hãy khoanh tròn vào chữ cái trước câu trả lời đúng nhất.
Câu 1: Phân số chỉ số phần đã tô màu trong hình bên là:

A. \(\frac{3}{7}\) B. \(\frac{10}{7}\) C. \(\frac{5}{7}\) D. \(\frac{5}{14}\)
Câu 2. Trong số 348 245 691, giá trị của chữ số 6 gấp giá trị chữ số giá trị chữ số 2 số lần là:
A. 3 B. 3 000 C. \(\frac{1 000}{3}\) D. \(\frac{3}{1 000}\)
Câu 3. Trong các phép tính dưới đây, phép tính có kết quả nhỏ nhất là:
![]()
Câu 4. Trong hình dưới đây có bao nhiêu hình bình hành?

A. 3 hình B. 4 hình C. 5 hình D. 6 hình
Câu 5. Vườn nhà Lan có 300 cây bắp cải. Hiện tại, nhà Lan đã thu hoạch hết \(\frac{5}{6}\) số bắp cải. Vậy số bắp cải còn lại trong vườn là:
A. 50 cây B. 205 cây C. 250 cây D. 260 cây
Câu 6. Cô Hà có 800 000 đồng. Cô dùng số tiền đó mua một chiếc váy. Sau đó, cô dùng số tiền còn lại mua một đôi giày. Vậy đôi giày cô Hà mua có giá là:
A. 320 000 đồng B. 480 000 đồng C. 700 000 đồng D. 420 000 đồng
PHẦN II - TỰ LUẬN (7 điểm)
Bài 1. Đặt tính rồi tính: (1 điểm)
|
349 201 × 19 ………………................ ………………................ ………………................ ………………................ ………………................ |
392 448 : 48 ………………................ ………………................ ………………................ ………………................ ………………................ |
Bài 2. Điền số hoặc phân số tối giản thích hợp vào chỗ trống (1 điểm)
|
……… + \(\frac{1}{5}\) =
|
500 × ……… = 150 |
|
\(\frac{21}{32}\) – ……… = \(\frac{5}{16}\) |
……… : \(\frac{5}{8}\) = 320 000 |
Bài 3. Số? (1 điểm)
|
\(\frac{9}{20}\) tạ 30 kg = ……… kg
\(\frac{3}{5}\) phút 25 giây = ……… giây |
\(\frac{3}{4}\) m2 30 dm2 = ……… dm2
\(\frac{3}{2}\) thế kỉ 15 năm = ……… năm |
Bài 4. Biểu đồ cột dưới đây cho biết thời gian tự học tại nhà của bạn Vân:

Quan sát biểu đồ trên và điền phân số thích hợp vào chỗ trống. (1 điểm)
Thời gian tự học trong ngày chủ nhật bằng ……. thời gian tự học trong ngày thứ 5.
Thời gian tự học trong ngày thứ 3 chiếm …… thời gian tự học trong cả tuần của Vân.
Bài 5. Tính bằng cách thuận tiện. (2 điểm)
|
82 × 3 294 – 82 × 295 + 82 = .................................................................... = .................................................................... = .................................................................... |
(\(\frac{1}{20}\) + \(\frac{1}{80}\)) x 160 000 = .................................................................... = .................................................................... = .................................................................... |
Bài 6. Người ta muốn làm hàng rào quanh một mảnh vườn hình chữ nhật có chiều dài 18 m và chiều rộng bằng \(\frac{2}{3}\) chiều dài. Nếu mỗi mét hàng rào tốn 40 000 đồng. Hỏi cần số tiền bao nhiêu để làm hàng rào? (1 điểm)
Bài giải
…………………………………………………………………………………………………………………………………………………………………………………………………………………………………...........................................................................
…………………………………………………………………………………………………………………………………………………………………………………………………………………………………...........................................................................
…………………………………………………………………………………………………………………………………………………………………………………………………………………………………...........................................................................
…………………………………………………………………………………………………………………………………………………………………………………………………………………………………...........................................................................
…………………………………………………………………………………………………………………………………………………………………………………………………………………………………...........................................................................
…………………………………………………………………………………………………………………………………………………………………………………………………………………………………...........................................................................
--------------------------------------------------------------------------------------------------------------------------------------------------------------
Kết nối tri thức_Toán lớp 4_Đáp án đề thi học kì 2 - Đề 3
PHẦN I - TRẮC NGHIỆM
Khoanh vào chữ cái đặt trước câu trả lời đúng hoặc làm theo yêu cầu:

Câu 1.

Đáp án đúng là: B
Hình thứ nhất chia thành 7 phần bằng nhau. Số phần đã tô màu là 7. Vậy hình thứ nhất đã tô màu \(\frac{7}{7}\) hình
Hình thứ hai chia thành 7 phần bằng nhau. Số phần đã tô màu là 3. Vậy hình thứ hai đã tô màu \(\frac{3}{7}\) hình.
Vậy phân số chỉ số phần đã tô màu trong hình bên (gồm hình thứ nhất và hình thứ hai) là: \(\frac{7}{7}\) + \(\frac{3}{7}\) = \(\frac{10}{7}\)
Câu 2.
Đáp án đúng là: D
Trong số 348 245 691 có:
- Giá trị của chữ số 6 là: 600
- Giá trị của chữ số 2 là: 200 000.
Vậy giá trị chữ số 6 gấp giá trị chữ số giá trị chữ số 2 số lần là:
600 : 200 000 = \(\frac{3}{1 000}\)
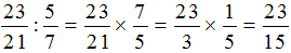
Câu 3.
Đáp án đúng là: C
A.

Ta có: 29 > 12 nên phép tính có kết quả lớn hơn 1.
B.

Ta có: 23 > 14 nên phép tính có kết quả lớn hơn 1.
C.

Ta có: 13 < 21 nên phép tính có kết quả nhỏ hơn 1.
D.

Ta có: 23 > 15 nên phép tính có kết lớn hơn 1.
Vậy phép tính có kết quả nhỏ nhất là: \(\frac{2}{7}\) x \(\frac{13}{6}\)
Câu 4.
Đáp án đúng là: B
Hình bên dưới có 4 hình bình hành. Gồm:
(1 + 2), (1 + 2 + 3 + 4), (2 + 3), (3 + 4)

Câu 5.
Đáp án đúng là: A
Số bắp cải nhà Lan đã thu hoạch là:
300 × \(\frac{5}{6}\) = 250 (cây)
Số bắp cải còn lại trong vườn là:
300 – 250 = 50 (cây)
Đáp số: 50 cây
Câu 6.
Đáp án đúng là: D
Số tiền cô Hà dùng mua váy là:
800 000 × \(\frac{2}{5}\) = 320 000 (đồng)
Số tiền cô Hà còn lại sau khi mua váy là:
800 000 – 320 000 = 480 000 (đồng)
Giá tiền đôi giày cô Hà mua là:
480 000 × \(\frac{7}{8}\) = 420 000 (đồng)
Đáp số: 420 000 đồng
PHẦN II - TỰ LUẬN (7 điểm)
Bài 1.

Bài 2.
\(\frac{4}{25}\) + \(\frac{1}{5}\) = \(\frac{9}{25}\)
Giải thích:

Vậy số cần điền là: \(\frac{4}{25}\)
\(\frac{21}{32}\) - \(\frac{11}{32}\) = \(\frac{5}{16}\)
Giải thích:

Vậy số cần điền là: \(\frac{11}{32}\)
500 × \(\frac{3}{10}\) = 150
Giải thích:

Vậy số cần điền là: \(\frac{3}{10}\)
200 000 : \(\frac{5}{8}\) = 320 000
Giải thích:

Vậy số cần điền là: 200 000
Bài 3.
\(\frac{9}{20}\) tạ 30 kg = 75 kg
Giải thích:

Vậy số cần điền là: 75
\(\frac{3}{5}\) phút 25 giây = 61 giây
Giải thích:

Vậy số cần điền là: 61
\(\frac{3}{4}\) m2 30 dm2 = 105 dm2
Giải thích:

Vậy số cần điền là: 105
\(\frac{3}{2}\) thế kỉ 15 năm = 165 năm
Giải thích:

Vậy số cần điền là: 165
Bài 4.

Thời gian tự học trong ngày chủ nhật bằng \(\frac{1}{3}\) thời gian tự học trong ngày thứ 5.
Thời gian tự học trong ngày thứ 3 chiếm \(\frac{5}{37}\) thời gian tự học trong cả tuần của Vân.
Giải thích:
Thời gian tự học ngày chủ nhật bằng số thời gian tự học ngày thứ 5 là:
40 : 120 = \(\frac{1}{3}\)
Thời gian tự học cả tuần là:
45 + 75 + 100 + 120 + 80 + 95 + 40 = 555 (phút)
Thời gian tự học trong ngày thứ 3 chiếm số phần thời gian
tự học trong cả tuần của Vân là:
75 : 555 = \(\frac{5}{37}\)
Bài 5.

Bài 6.
Bài giải:
Chiều rộng mảnh vườn là:
18 × \(\frac{2}{3}\) = 12 (m)
Chu vi mảnh vườn hình chữ nhật là:
(18 + 12) × 2 = 60 (m)
Cần số tiền để làm hàng rào là:
40 000 × 60 = 2 400 000 (đồng)
Đáp số: 2 400 000 đồng
Umbalena - Con đọc sách thỏa thích mùa hè - Bấm vào đây để tải
Xem thêm:
[MỚI NHẤT 2025] Đề thi Toán lớp 4 - Đề thi học kì 2 - Đề 1 - Kết nối tri thức (Không Quảng Cáo)
[MỚI NHẤT 2025] Đề thi Toán lớp 4 - Đề thi học kì 2 - Đề 2 - Kết nối tri thức (Không Quảng Cáo)
[MỚI NHẤT 2025] Đề thi Toán lớp 4 - Đề thi học kì 2 - Đề 4 - Kết nối tri thức (Không Quảng Cáo)
[MỚI NHẤT 2025] Đề thi Toán lớp 4 - Đề thi học kì 2 - Đề 5 - Kết nối tri thức (Không Quảng Cáo)