[MỚI NHẤT 2025] Dạy con học thật dễ - Tổng hợp kiến thức Toán lớp 5 - Tuần 3 - Kết nối tri thức (Không Quảng Cáo)
Tổng hợp kiến thức Toán lớp 5 tuần 3 - Kết nối tri thức đầy đủ nhất kèm bài tập thực hành giúp ba mẹ Dạy con học thật dễ! Ba mẹ xem hướng dẫn bên dưới của chương trình Dạy con học thật dễ để giúp con hiểu và vận dụng kiến thức Toán lớp 5 tuần 3 hiệu quả, đạt điểm cao.
DẠY CON HỌC THẬT DỄ - TOÁN LỚP 5 – TUẦN 3
CỘNG, TRỪ HAI PHÂN SỐ KHÁC MẪU SỐ
HỖN SỐ
I. Mục tiêu bài học và kiến thức cần nhớ:
1.1. Mục tiêu bài học:
- Củng cố phép cộng, phép trừ hai phân số khác mẫu số hoặc có một mẫu số chia hết cho mẫu số còn lại.
- Hiểu được cách tính cộng, trừ hai phân số khác mẫu số bằng cách quy động mẫu số (lấy mẫu số chung là tích của hai mẫu số).
- Nhận biết được khái niệm ban đầu về hỗn số
- Nhận biết được phần nguyên, phần phân số.
- Đọc, viết được hỗn số.
- Nhận biết được hỗn số liên quan đến số lượng của một nhóm đồ vật.
- Viết được hỗn số dưới dạng tổng của phần nguyên và phân số.
- HS có cơ hội phát triển năng lực tư duy và lập luận toán học, năng lực giao tiếp và năng lực giải quyết vấn đề toán học trong thực tế.
1.2. Kiến thức cần nhớ:
Để học được bài này thì các con cần nhớ những kiến thức:
1.2.1. Cộng, trừ hai phân số khác mẫu số:
a. Quy tắc: Muốn cộng (hoặc trừ) hai phân số khác mẫu số ta quy đồng mẫu số hai phân số đó rồi cộng (hoặc trừ) hai phân số đã quy đồng.
Ví dụ 1: \(\frac{2}{3}\) + \(\frac{3}{4}\) = \(\frac{8}{12}\) + \(\frac{9}{12}\) = \(\frac{8 + 9}{12}\) = \(\frac{17}{12}\)
Ví dụ 2: \(\frac{5}{6}\) - \(\frac{3}{5}\) = \(\frac{25}{30}\) - \(\frac{18}{30}\) = \(\frac{25 - 18}{30}\) = \(\frac{7}{30}\)
b. Tính chất của phép cộng phân số:
+ Tính chất giao hoán: Khi đổi chỗ các phân số trong một tổng thì tổng của chúng không thay đổi.
+ Tính chất kết hợp: Khi cộng một tổng hai phân số với phân số thứ ba thì ta có thể cộng phân số thứ nhất với tổng của hai phân số còn lại.
+ Cộng với số 0: Phân số nào cộng với 0 cũng bằng chính phân số đó.
Lưu ý: ta thường áp dụng các tính chất của phép cộng phân số trong các bài tính nhanh.
1.2.2. Hỗn số:
- Khái niệm: Hỗn số gồm hai thành phần là phần nguyên và phần phân số.
Ví dụ: Cho hỗn số 2 \(\frac{1}{4}\)
Phần nguyên của hỗn số là 2 và phần phân số là 14 .
Hỗn số 2 \(\frac{1}{4}\) được đọc là “hai và một phần tư” hoặc “hai và một phần tư”.
Phần phân số của hỗn số bao giờ cũng nhỏ hơn 1.
Khi đọc (hoặc viết) hỗn số, ta đọc (hoặc viết) phần nguyên rồi đọc (hoặc viết) phần phân số.
- Cách chuyển hỗn số thành phân số:
+ Tử số bằng phần nguyên nhân với mẫu số rồi cộng với tử số ở phần phân số.
+ Mẫu số bằng mẫu số ở phần phân số
Ví dụ: Chuyển hỗn số 3 \(\frac{1}{4}\) thành phân số: 3 \(\frac{1}{4}\) = \(\frac{3 x 4 + 1}{4}\) = \(\frac{13}{5}\)
- Cách chuyển phân số thành hỗn số:
+ Tính phép chia tử số cho mẫu số.
+ Giữ nguyên mẫu số của phần phân số.
+ Tử số bằng số dư của phép chia tử số cho mẫu số.
+ Phần nguyên bằng thương của phép chia tử số cho mẫu số.
Ví dụ: Chuyển phân số \(\frac{15}{2}\) thành hỗn số:
Ta có: 15 : 2 = 7 dư 1 Vậy phân số đã cho được viết dưới dạng hỗn số là: \(\frac{15}{2}\) = 7 \(\frac{1}{2}\)
- Phép tính hỗn số:
+ Tương tự như với phân số, hỗn số có thể thực hiện các phép toán cộng, trừ, nhân, chia với nhau.
+ Để cộng hay trừ hỗn số, ta có hai cách làm sau:
- Cách 1: Chuyển hỗn số về dạng phân số rồi thực hiện các phép toán trên phân số
- Cách 2: Ta tách phần nguyên để thực hiện phép tính cộng trừ, tách phần phân số rồi thực hiện phép tính cộng trừ.
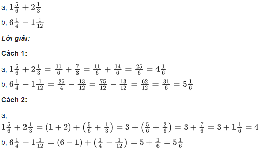
→ Ví dụ: Thực hiện phép tính sau bằng hai cách:

👉 Luyện tập các dạng toán thường gặp với Dạy con học thật dễ trên Umbalena!
II. Phương pháp giảng dạy:
2.1. Bắt đầu từ những ví dụ đơn giản:
- Cộng, trừ phân số cùng mẫu số: Ôn lại quy tắc này trước khi chuyển sang phân số khác mẫu số. Ví dụ: \(\frac{1}{5}\) + \(\frac{2}{5}\) = \(\frac{3}{5}\)
- Quy đồng mẫu số: Bắt đầu với những cặp phân số có mẫu số dễ tìm mẫu số chung (ví dụ: \(\frac{1}{2}\) và \(\frac{1}{4}\); \(\frac{1}{3}\) và \(\frac{1}{6}\)).
2.2. Sử dụng hình ảnh trực quan:
- Vẽ hình tròn, hình vuông, chia thành các phần bằng nhau để biểu diễn phân số.
- Dùng màu sắc khác nhau để tô các phần, giúp con dễ hình dung việc cộng, trừ phân số.
Ví dụ: Vẽ 1 hình tròn chia làm 4 phần bằng nhau, tô màu 1 phần để biểu diễn \(\frac{1}{4}\). Vẽ hình tròn khác chia làm 2 phần bằng nhau, tô màu 1 phần để biểu diễn \(\frac{1}{2}\). Hỏi muốn cộng \(\frac{1}{4}\) và \(\frac{1}{2}\) thì làm thế nào? (Gợi ý: Chia đôi mỗi phần của hình tròn \(\frac{1}{2}\) thành 2 phần nhỏ)
2.3. Chia nhỏ bài học thành các bước:
- Bước 1: Tìm mẫu số chung.
Hướng dẫn con cách tìm mẫu số chung nhỏ nhất (MSCNN) bằng cách liệt kê các bội số của mỗi mẫu số.
Ví dụ: Tìm MSCNN của 4 và 6.
Bội số của 4: 4, 8, 12, 16,...
Bội số của 6: 6, 12, 18,...
Vậy MSCNN của 4 và 6 là 12.
- Bước 2: Quy đồng mẫu số.
Hướng dẫn con cách tìm thừa số phụ và nhân cả tử số và mẫu số với thừa số phụ đó.
Ví dụ: Quy đồng mẫu số của \(\frac{1}{4}\) và \(\frac{1}{6}\).
MSCNN là 12.
Thừa số phụ của \(\frac{1}{4}\) là \(\frac{12}{4}\) = 3. => \(\frac{1}{4}\) = \(\frac{1 x 3}{4 x 3}\) = \(\frac{3}{12}\)
Thừa số phụ của \(\frac{1}{6}\) là \(\frac{12}{6}\) = 2. => \(\frac{1}{6}\) = \(\frac{1 x 2}{6 x 2}\) = \(\frac{2}{12}\)
- Bước 3: Cộng hoặc trừ các phân số đã quy đồng.
Thực hiện phép tính cộng hoặc trừ tử số, giữ nguyên mẫu số.
Ví dụ: \(\frac{3}{12}\) + \(\frac{2}{12}\) = \(\frac{5}{12}\)
2.4. Luyện tập thường xuyên:
- Cho con làm nhiều bài tập khác nhau, từ dễ đến khó.
- Khuyến khích con tự giải bài tập và kiểm tra lại kết quả.
- Nếu con gặp khó khăn, hãy kiên nhẫn giải thích lại và cho thêm ví dụ.
2.5. Liên hệ với thực tế:
- Sử dụng các ví dụ gần gũi trong cuộc sống để giúp con hiểu rõ hơn về phân số và hỗn số.
Ví dụ: "Mẹ có \(\frac{1}{2}\) cái bánh pizza, con có \(\frac{1}{4}\) cái bánh pizza. Vậy cả hai mẹ con có bao nhiêu phần bánh pizza?"
Ví dụ: "Hôm nay con ăn hết 1 \(\frac{1}{2}\) bát cơm. Vậy 1 \(\frac{1}{2}\) bát cơm bằng bao nhiêu bát cơm nếu chỉ tính phần phân số?"
2.6. Kiểm tra và củng cố:
- Thường xuyên kiểm tra lại kiến thức của con bằng các câu hỏi ngắn, bài tập trắc nghiệm hoặc bài tập tự luận.
- Ôn lại các kiến thức đã học sau một thời gian để đảm bảo con không quên.
2.7. Động viên và khen ngợi:
- Khuyến khích con học tập, động viên khi con gặp khó khăn.
- Khen ngợi khi con làm tốt để tạo động lực cho con.
III. Học liệu:
Ba mẹ tải Phiếu bài tập tuần 3 tại đây.
👉 Còn rất nhiều học liệu hay từ Dạy con học thật dễ của Umbalena:
✅ Hiểu bài từ gốc đến ngọn với Giáo án soạn sẵn cho mỗi buổi học tại nhà.
✅ Trò chơi, worksheet, tranh tô màu, flashcard với nhân vật hoạt hình sinh động.
✅ Luyện tập cùng kho bài tập tương tác do chuyên gia Giáo dục biên soạn.
✅ Tự chấm điểm, xếp hạng để con học mọi lúc mọi nơi kể cả khi ba mẹ bận rộn.
👉 Khám phá bí mật Dạy con học thật dễ của ba mẹ thông thái!
IV. Kết hợp trò chơi:
Dưới đây là một số gợi ý trò chơi cho các bé làm quen với cộng, trừ hai phân số khác mẫu số; hỗn số:
4.1. Trò chơi "Chia bánh pizza"
- Cách chơi: Vẽ hoặc sử dụng mô hình bánh pizza chia thành nhiều phần. Các bé sẽ phải cộng hoặc trừ các phân số có mẫu số khác nhau, ví dụ: "Bánh pizza này được chia thành 6 phần, con ăn 2 phần, sau đó bạn của con ăn thêm \(\frac{1}{3}\) bánh. Vậy còn lại bao nhiêu phần bánh?".
- Mục đích: Giúp bé hiểu và thực hành cộng, trừ phân số khác mẫu số.
4.2. Trò chơi "Xếp hình phân số"
- Cách chơi: Tạo ra các mảnh ghép hình có phân số khác mẫu số (ví dụ: \(\frac{1}{2}\), \(\frac{1}{3}\), \(\frac{1}{4}\), \(\frac{1}{5}\). Các bé sẽ phải xếp các mảnh ghép sao cho đúng với tổng của phân số cần cộng hoặc trừ, ví dụ: "Cộng \(\frac{1}{4}\) và \(\frac{1}{3}\), bạn hãy xếp các mảnh ghép lại với nhau để có tổng là \(\frac{7}{12}\)".
- Mục đích: Giúp bé làm quen với cộng, trừ phân số khác mẫu số và làm quen với cách quy đồng mẫu số.
4.3. Trò chơi "Chuyến đi của số"
- Cách chơi: Ba mẹ đưa ra các câu hỏi về phép cộng, trừ phân số có mẫu số khác nhau, ví dụ: "Con có \(\frac{2}{3}\) bánh, và bạn của con cho thêm \(\frac{1}{4}\) bánh. Vậy con có tổng cộng bao nhiêu phần của chiếc bánh?".
- Mục đích: Giúp bé học cách quy đồng mẫu số và tính toán cộng trừ phân số.
4.4. Trò chơi "Chia quà"
- Cách chơi: Dùng các tấm thẻ ghi phân số và yêu cầu bé chia các quà tặng cho bạn bè. Ví dụ: "Con có \(\frac{3}{4}\) chiếc bánh và muốn chia cho 2 người bạn, mỗi người sẽ nhận bao nhiêu phần?" hoặc "Con có \(\frac{2}{3}\) chiếc bánh và cho đi \(\frac{1}{4}\), vậy con còn lại bao nhiêu phần?".
- Mục đích: Thực hành cộng, trừ phân số khác mẫu số.
4.5. Trò chơi "Xếp số phân số"
- Cách chơi: Chuẩn bị các thẻ số phân số và yêu cầu bé xếp các thẻ để thực hiện phép tính cộng, trừ. Ví dụ: "Sắp xếp các thẻ phân số này để thực hiện phép tính \(\frac{1}{2}\) + \(\frac{1}{3}\) và tìm kết quả". Sau đó, các bé có thể đặt các thẻ phân số vào đúng vị trí để tính tổng.
- Mục đích: Giúp bé nắm vững cách cộng trừ phân số khác mẫu số qua việc thực hành trực quan.
4.6. Trò chơi "Đuổi hình bắt chữ"
- Cách chơi: Các thẻ bài có chứa các phân số khác mẫu sẽ được phát cho các bé. Mỗi bé sẽ lấy một thẻ và phải đưa ra phép tính cộng hoặc trừ với các phân số trên thẻ của mình. Ví dụ: "Con có \(\frac{3}{4}\) và \(\frac{1}{2}\). Con phải cộng chúng lại, tìm mẫu số chung và tính tổng".
- Mục đích: Trò chơi này giúp các bé thực hành cộng trừ phân số khác mẫu số và làm quen với việc quy đồng mẫu số.
4.7. Trò chơi "Giải câu đố phân số"
- Cách chơi: Ba mẹ đưa ra câu đố yêu cầu cộng hoặc trừ các phân số khác mẫu số. Ví dụ: "Bạn có \(\frac{2}{5}\) quả táo, và bạn của bạn cho bạn thêm \(\frac{3}{4}\) quả táo. Bạn sẽ có tổng cộng bao nhiêu quả táo?".
- Mục đích: Giúp bé thực hành cộng và trừ phân số với mẫu số khác nhau.
👉 Xem thêm các trò chơi học tập từ Dạy con học thật dễ của Umbalena!
V. Ôn tập:
Ba mẹ đừng quên luyện tập thường xuyên cùng con để con có thể ghi nhớ và vận dụng bài học vào thực tế một cách thành thạo. Ba mẹ hãy:
- Yêu cầu con nhắc lại kiến thức cần nhớ trong tuần 3.
- Cho con làm các bài tập tuần 3 trong sách giáo khoa, vở bài tập.
- Ba mẹ thường xuyên đưa ra những tình huống thực tế cho các con.
Đừng bỏ lỡ cơ hội cho con học tốt hơn với những bài tập bổ trợ hữu ích từ chuyên mục Dạy con học thật dễ trên Thư viện số học tập hàng đầu cho trẻ em Việt Nam - Umbalena.
👉 Ba mẹ bấm tại đây để đăng kí và trải nghiệm miễn phí ngay nhé!
