[MỚI NHẤT 2024] Giải Vở bài tập Toán lớp 5 trang 15, 16, 17, 18, 19 tập 1 Bài 5 - KNTT (Không Quảng Cáo)
Kết nối tri thức_Vở bài tập Toán 5_Tập 1_Bài 5_Ôn tập các phép tính với phân số
Lời giải Vở bài tập Toán lớp 5 tập 1 trang 15, 16, 17, 18, 19 Kết nối tri thức Bài 5 Ôn tập các phép tính với phân số đầy đủ và chi tiết nhất, giúp học sinh đạt điểm cao môn Toán lớp 5.
Tiết 1 (trang 15, 16)
Bài 1 VBT Toán lớp 5 tập 1 trang 15:
Tính
a) \(\frac{5}{6}\) + \(\frac{11}{18}\) =............................
b) \(\frac{21}{20}\) - \(\frac{4}{5}\) =............................
c) \(\frac{4}{7}\) + 3 =............................
d) 4 - \(\frac{13}{6}\) =............................
Hướng dẫn giải:
a) \(\frac{5}{6}\) + \(\frac{11}{18}\) = \(\frac{15}{18}\) + \(\frac{11}{18}\) = \(\frac{26}{18}\) = \(\frac{13}{9}\)
b) \(\frac{21}{20}\) - \(\frac{4}{5}\) = \(\frac{21}{20}\) - \(\frac{16}{20}\) = \(\frac{5}{20}\) = \(\frac{1}{4}\)
c) \(\frac{4}{7}\) + 3 = \(\frac{4}{7}\) + \(\frac{21}{7}\) = \(\frac{25}{7}\)
d) 3 - \(\frac{13}{6}\) = \(\frac{24}{4}\) - \(\frac{13}{6}\) = \(\frac{11}{6}\)
Bài 2 VBT Toán lớp 5 tập 1 trang 15:
Tính giá trị của biểu thức:
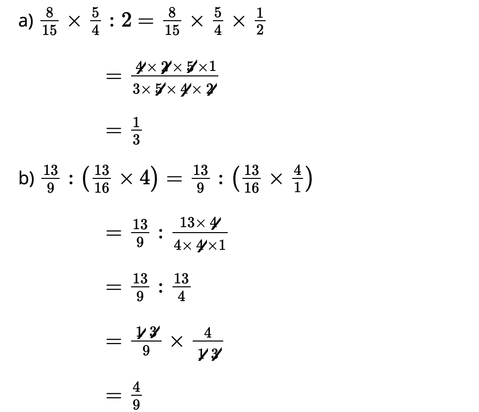
a)
b)
Hướng dẫn giải:
a)
b)
Bài 3 VBT Toán lớp 5 tập 1 trang 15:
Khoanh vào chữ đặt trước câu trả lời đúng
Hai bạn Việt và Nam cùng chạy thi trên một đoạn đường. Sau một phút, Việt chạy được đoạn đường, Nam chạy được đoạn đường.
Vậy sau một phút:
Nam chạy nhiều hơn Việt đoạn đường.
Việt chạy nhiều hơn Nam đoạn đường.
Nam chạy nhiều hơn Việt đoạn đường.
Hướng dẫn giải:
Đáp án đúng là: C
Việt chạy được: đoạn đường
Nam chạy được: đoạn đường.
So sánh:
Vậy Nam chạy nhiều hơn Việt:
(đoạn đường)
Đáp số: đoạn đường
Bài 4 VBT Toán lớp 5 tập 1 trang 16:
Ngày thứ Bảy, Mai đọc được số trang của quyển truyện. Ngày Chủ nhật, Mai đọc tiếp được số trang của quyển truyện đó. Hỏi Mai còn phải đọc bao nhiêu phần số trang của quyển truyện nữa thì mới xong quyển truyện đó?
Hướng dẫn giải:
Cả hai ngày Mai đọc được số phần trang của quyển truyện là:
(quyển truyện)
Mai còn phải đọc số phần của quyển truyện là:
(quyển truyện)
Đáp số: (quyển truyện)
Bài 5 VBT Toán lớp 5 tập 1 trang 16:
Đố em!
Viết phân số thành tổng hai phân số tối giản.
Hướng dẫn giải:
Viết phân số thành tổng hai phân số tối giản là:
Tiết 2 (trang 16, 17, 18)
Bài 1 VBT Toán lớp 5 tập 1 trang 16:
Tính
a) \(\frac{4\times7}{7\times16}\) = ......................................
b) = ......................................
c) \(\frac{5\times}{3\times10}\) = ......................................
d) = ......................................
Hướng dẫn giải:

Bài 2 VBT Toán lớp 5 tập 1 trang 17:
Viết phân số thích hợp vào chỗ chấm.
Người ta làm một hàng rào xung quanh bồn hoa hình vuông. Biết tổng độ dài hàng rào đó là 14 m.
a) Độ dài cạnh của bồn hoa đó là .......... m.
b) Diện tích của bồn hoa đó là ........... m2.
Hướng dẫn giải:
a) Độ dài cạnh của bồn hoa là:
: 4 = (m)
Đáp số: m
b) Diện tích bồn hoa là:
= (m2)
Đáp số: m2
Bài 3 VBT Toán lớp 5 tập 1 trang 17:
Tính giá trị của biểu thức
a)
b)
Hướng dẫn giải:

Bài 4 VBT Toán lớp 5 tập 1 trang 17:
Một tấm tôn dạng hình chữ nhật có chiều dài m, chiều rộng m. Bác Sơn chia tấm tôn đó thành 4 phần bằng nhau (như hình vẽ) để làm thùng. Tính diện tích mỗi phần tấm tôn làm thùng.
Hướng dẫn giải:
Diện tích tấm tôn ban đầu là:
(m2)
Diện tích mỗi phần tấm tôn làm thùng là:
3 : 4= (m2)
Đáp số: m2
Bài 5 VBT Toán lớp 5 tập 1 trang 18:
Tính bằng cách thuận tiện:
a) = ..................................
b) = ..................................
Hướng dẫn giải:
a) =
b) = (
Tiết 3 (trang 18, 19)
Bài 1 VBT Toán lớp 5 tập 1 trang 18:
Đ, S?
Hướng dẫn giải:
Thực hiện các phép tính ta được:
Vậy ta điền như sau:
Bài 2 VBT Toán lớp 5 tập 1 trang 18:
Tính giá trị biểu thức.
a)
b)
Hướng dẫn giải:
Bài 3 VBT Toán lớp 5 tập 1 trang 18:
Hưởng ứng phong trào trồng cây xanh, lớp 5A trồng được 72 cây, lớp 5B trồng được số cây bằng số cây của lớp 5A. Hỏi cả lớp 5A và lớp 5B trồng được bao nhiêu cây?
Hướng dẫn giải:
Lớp 5B trồng được số cây là:
72 = 64 (cây)
Cả hai lớp trồng được số cây là:
72 + 64 = 136 (cây)
Đáp số: 136 cây
Bài 4 VBT Toán lớp 5 tập 1 trang 19:
Tính bằng cách thuận tiện.
a)
Hướng dẫn giải:

Bài 5 VBT Toán lớp 5 tập 1 trang 19:
Đố em!

Em hãy cùng Mai tìm cách giúp Nam.
Hướng dẫn giải:
Mai hướng dẫn Nam thực hiện như sau:
Mai gấp băng giấy làm đôi 2 lần. Mai sẽ được 4 đoạn dây có kích thước mỗi đoạn:
Để lấy 1 m thì Mai lấy số đoạn dây là:
1:
Đáp số: 3 (đoạn dây)
Xem thêm SGK Toán lớp 4 Tập 1 Bài 36 Kết nối tri thức:
[MỚI NHẤT 2024] Giải Toán lớp 5 trang 16, 17, 18, 19 tập 1 Bài 5 - KNT (umbalena.vn)
Xem thêm các Lời giải VBT Toán 5 tập 1 Kết nối tri thức khác :
Umbalena - Hướng dẫn giải vở bài tập toán lớp 5 tập 1 - Kết nối tri thức
[MỚI NHẤT 2024] Giải Vở bài tập Toán lớp 5 trang 11, 12, 13 tập 1 Bài 3 - KNTT (umbalena.vn)
[MỚI NHẤT 2024] Giải Vở bài tập Toán lớp 5 tập 1 trang 14 Bài 4 - KNTT (umbalena.vn)
[MỚI NHẤT 2024] Giải Vở bài tập Toán lớp 5 trang 20, 21, 22, 23 tập 1 Bài 6 - KNTT (umbalena.vn)
[MỚI NHẤT 2024] Giải Vở bài tập Toán lớp 5 trang 24, 25, 26 tập 1 Bài 7 - KNTT (umbalena.vn)